업계 뉴스

용해도 및 안정성 향상을 위한 시클로덱스트린 기반 솔루션

2025-12-23 - 나에게 메시지를 남겨주세요

용해도 및 안정성 향상을 위한 시클로덱스트린 기반 솔루션

하이드록시프로필 베타덱스 및 베타덱스 설포부틸 에테르 나트륨의 기술 개요

사이클로덱스트린은 잘 녹지 않거나 화학적으로 민감한 화합물의 용해도와 안정성을 향상시키는 능력으로 널리 알려져 있습니다. 독특한 고리형 분자 구조로 인해 사이클로덱스트린과 그 유도체는 제약, 화학 및 관련 제형 분야에서 중요한 기능적 부형제가 되었습니다. 증가하는 기술 및 규제 요구 사항에 대응하여 Xi'an Deli Biochemical은 주요 시클로덱스트린 유도체에 대한 기술 문서 및 제품 지원을 더욱 개선했습니다.하이드록시프로필 베타덱스(HPBCD) 및 베타덱스 설포부틸 에테르 나트륨(SBECD).


사이클로덱스트린의 구조적 특성과 기능적 성능

사이클로덱스트린은 α-1,4 글리코시드 결합으로 연결된 포도당 단위로 구성된 고리형 올리고당입니다. 그들의 분자 구조는 친수성 외부 표면과 상대적으로 소수성인 내부 공동을 특징으로 하여 광범위한 게스트 분자와 포접 복합체를 형성할 수 있습니다. 사이클로덱스트린 구조의 화학적 변형은 수용해도를 크게 향상시키고 적용 다양성을 넓힐 수 있습니다.


하이드록시프로필 베타덱스(HPBCD)


하이드록시프로필 베타덱스는 천연 사이클로덱스트린의 제한된 용해도를 극복하도록 설계된 화학적으로 변형된 β-사이클로덱스트린입니다. 향상된 수용성과 유리한 호환성으로 인해 HPBCD는 다양한 시스템 전반에 걸쳐 효과적인 용해, 안정화 및 제형 유연성이 필요한 응용 분야에 적합합니다.


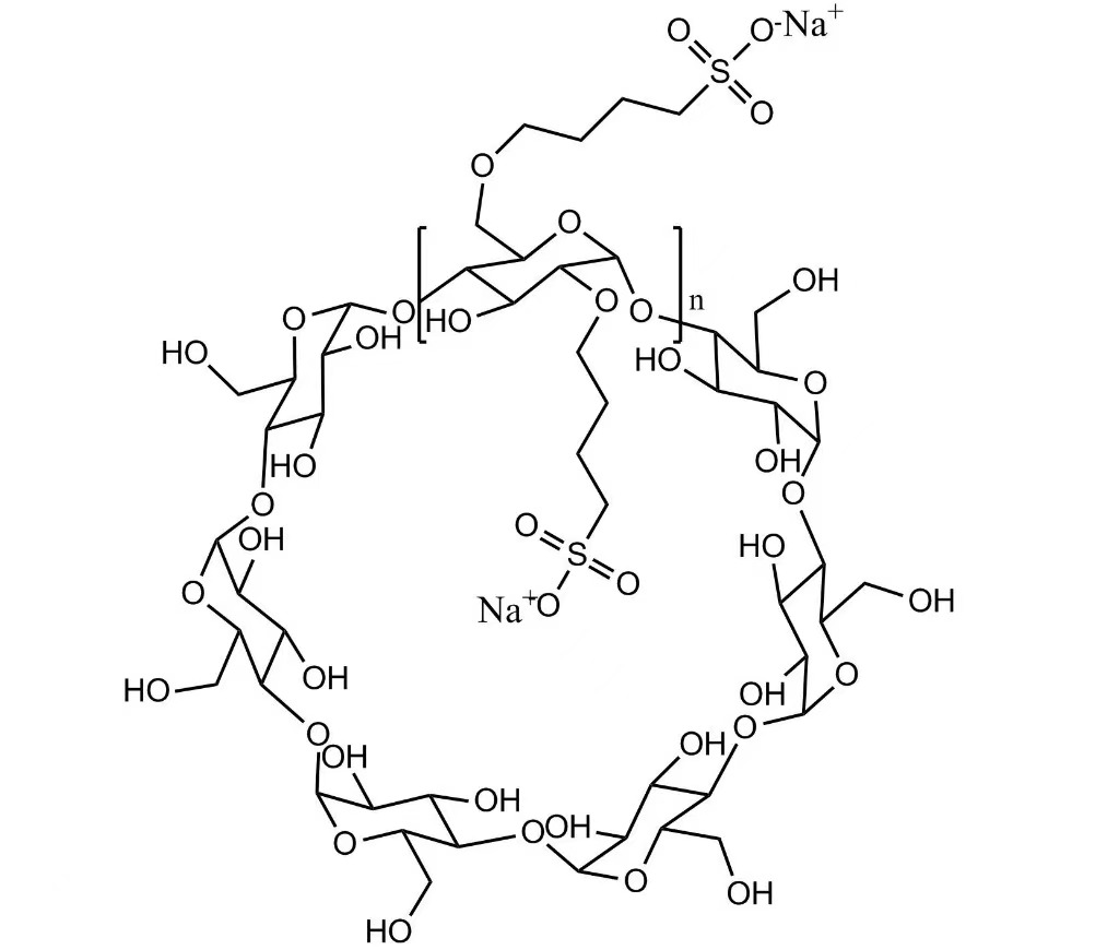
베타덱스 설포부틸 에테르 나트륨(SBECD)


베타덱스 설포부틸 에테르 나트륨은 설포부틸 에테르 치환체를 특징으로 하는 음이온성 사이클로덱스트린 유도체입니다. 이 구조는 특정 화합물과의 정전기적 상호 작용을 향상시켜 보다 까다로운 응용 분야에서 향상된 용해도, 복합 안정성 및 제형 견고성을 지원합니다.

표준화된 제품정보 및 기술지원

제제 개발, 품질 평가 및 조달 프로세스를 더 잘 지원하기 위해 Xi'an Deli Biochemical은 다음을 포함하여 HPBCD 및 SBECD에 대한 제품 정보를 체계적으로 업데이트했습니다.


  • 명확하게 정의되고 표준화된 제품 사양 및 분석 매개변수
  • 추적성과 품질 검증을 보장하는 배치별 분석 인증서(COA)
  • 취급, 보관 및 일반적인 응용 분야 고려 사항을 다루는 확장된 기술 FAQ
  • 효율적인 기술 검토 및 선택을 촉진하도록 설계된 최적화된 제품 요약


이러한 개선 사항은 투명성을 강화하고 평가 일정을 단축하며 공급 주기 전반에 걸쳐 일관된 제품 성능을 지원하기 위한 것입니다.


제조 경험 및 품질 보증

1999년에 설립된 Xi'an Deli Biochemical은 시클로덱스트린 유도체 제조 분야에서 26년의 경험을 보유하고 있습니다. 이 회사는 하이드록시프로필 베타덱스 및 베타덱스 설포부틸 에테르 나트륨의 통제된 생산에 중점을 두고 공정 일관성, 배치 간 신뢰성 및 장기적인 공급 안정성을 강조합니다. 체계적인 품질 관리 관행은 고객의 기술, 규제 및 소싱 요구 사항을 지원합니다.


적용범위 및 기술협력

시클로덱스트린 포함 및 안정화 메커니즘을 기반으로 하는 HPBCD 및 SBECD는 제약 관련 제제, 특수 화학 물질, 수의학 제품 및 향상된 용해도와 안정성이 필요한 기타 시스템을 비롯한 여러 기술 분야에 적용 가능합니다. Xi'an Deli Biochemical은 진화하는 제형 요구 사항을 지원하기 위해 응용 중심 커뮤니케이션 및 기술 협력을 통해 파트너와 지속적으로 협력하고 있습니다.


Xi'an Deli 생화학 산업 회사 소개

1999년에 설립된 Xi'an Deli Biochemical Industry Companies는 사이클로덱스트린 유도체 전문 제조업체로, 하이드록시프로필 베타덱스(HPBCD)와 베타덱스 설포부틸 에테르 나트륨(SBECD)을 글로벌 고객에게 공급하고 있습니다. 제품 일관성, 명확한 사양 및 실용적인 기술 지원에 오랫동안 중점을 둔 회사는 신뢰할 수 있는 사이클로덱스트린 기반 솔루션을 제공하기 위해 최선을 다하고 있습니다.


원하시면 다음과 같이 해드립니다.


  • 이를 Google SEO에 맞게 추가로 최적화합니다(기술적인 분위기를 줄이지 않고).
  • 이를 제품 페이지 "기술 업데이트" 버전으로 압축합니다.
  • 규제/품질 중심 고객에 맞게 조정


어디에 출판할 계획인지 알려주세요.


문의 보내기


icon
X
당사는 귀하에게 더 나은 탐색 경험을 제공하고, 사이트 트래픽을 분석하고, 콘텐츠를 개인화하기 위해 쿠키를 사용합니다. 이 사이트를 이용함으로써 귀하는 당사의 쿠키 사용에 동의하게 됩니다. 개인 정보 보호 정책
거부하다 수용하다